In my last post I made a reference to the growth in expenditures in the health insurance and New Hampshire Retirement fund contributions in the Amherst School District budgets, and how they are driving forces in increasing the budget over the years. I also said I would dig through the budgets and come up with these numbers. This is a somewhat cumbersome task because the budget is organized into sections like “regular education” and “special education,” with a complete set of spending numbers for each section. So a subject like health insurance appears in about 12 separate places throughout the 30 or so pages of the budget, and then there are separate lines for the different schools in the district.
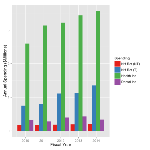
So with the caveat that I went through PDFs of these budgets by hand and could have missed a line in the tallies (though I was quite careful in doing this), here are the annual budgets for the NH Retirement contributions for non-teachers (NH Ret (NT)), contributions for teachers (NH Ret (T)), health insurance, and dental insurance for Amherst School District from FY10 through the budget we just voted on in March (FY14). Click it for a bigger version.

Insurance and NH Retirement fund costs for Amherst School District. The major drivers here are health insurance and the contributions to the New Hampshire Retirement System for teachers. NT denotes contributions made for non-teachers (red). T indicates contributions made for teachers (blue).
Since we have been reducing the levels of staffing in the district in response to the decrease in enrollment that I talked about in my previous post on the budget, we would hope to see these numbers decreasing. However, this is not a trend that we can see here. There are a few modest occasional decreases, but these are nowhere near offsetting the increases. From FY13 to FY14, the NH Retirement fund contributions for (not from) teachers increases by 20% ($231,551) and health insurance by 4% ($135,393). Those changes are more than either the dental insurance or non-teacher retirement entire budgets.
Now that we have seen how each category changes independently, let’s look at them combined so that we can see their total impact on the school budget each fiscal year. This one also gets bigger with a click of the mouse.

Insurance and NH Retirement fund costs for Amherst School District. The major drivers here are health insurance and the contributions to the New Hampshire Retirement System for teachers. NT denotes contributions made for non-teachers (red). T indicates contributions made for teachers (blue).
This is impressive. Now, we can see that these four spending areas combined have increased from $3.8 million to almost $5.5 million since FY2010. They increase by an average of just over $395,000 per year, with almost 40% (~$150,000/year) of that average increase being the beyond-our-control NH Retirement fund contributions for teachers that the state downshifts to us (that is, more of the fraction they used to pay is now taken on by the town). Health insurance costs increase by an average of about $244,000/year – or about 1% of our most recent ASD budget. And both of those dollar increases are with staffing reductions in place.
Almost every person I know in town has complained about rising property taxes in Amherst, and the school budgets are the majority component of them. If we seek to reduce this overall budget, or even hold it constant, then without implementing any new initiatives, either $400k of new cuts must be made in other areas annually to compensate or we will have to find some way to get these annual increases under control. Frankly, I’d rather see us find ways to make our insurance more affordable than to have to cut more teachers.
So why are these numbers what they are? What we were told last year on health insurance is that there are contractual obligations in place that obligate us to keep certain health insurance programs available. And that the more expensive option (the JY Plan) has been removed. Also that there are a very limited number of insurers in the state, which keeps competition down and prices high.
Those may all be true. But we should not be entering into the sort of contracts that obligate us to carry unaffordable options in perpetuity. And what other plan options have we considered? I have seen companies drop HMOs for PPO plans with secondary insurance plans to cover deductibles in order to reduce costs without reducing benefits. Has this been investigated? Would a consolidated school district allow us to reduce our health insurance premiums by increasing our group size? Have those numbers been run? Not a bad starting set of questions.